Encontrar el valor de π (Pi), la constante que expresa la relación entre la circunferencia y el diámetro de un círculo, es algo que siempre hacen las supercomputadoras, alcanzando el conocido 3,14, pero seguido de una infinidad de decimales. Carl-Johan Haster, astrofísico teórico del Instituto Tecnológico de Massachusetts (MIT), propuso un número ligeramente diferente: 3,115.
Esta imprecisión no es nada, dada la verdadera intención del investigador: probar la teoría general de la relatividad de Einstein, que vincula la gravedad con la dinámica del espacio y el tiempo. El resultado de su trabajo ha sido publicado en el repositorio de artículos científicos. arXiv.org.
Las ondas gravitacionales son las que se generan en el espacio-tiempo cuando se forman objetos masivos, como agujeros negros o estrellas masivas.
variable, no constante
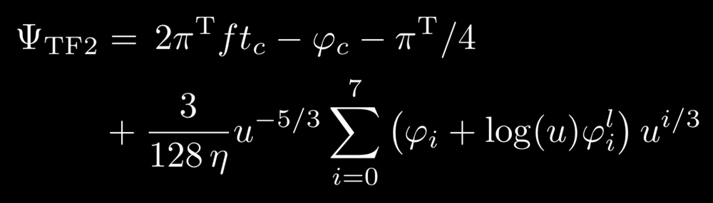
Mientras los estudiaba, Haster (quien colabora con el Observatorio de Ondas Gravitacionales con Interferómetro Láser – LIGO, siglas en inglés), notó que Pi aparecía en términos de una ecuación que describía su propagación.
Aunque Pi es una constante, el astrofísico usó el número como variable (similar a las ecuaciones en las que necesitamos encontrar el valor de xoy) y trató de determinar su valor a partir de observaciones de ondas gravitacionales. Haster utilizó datos de 22 ondas gravitacionales observadas por LIGO y mostró que Pi tiene un valor probable de 3,115.
“La teoría de Einstein todavía no parece necesitar ajustes. Para mí, el estudio produjo una prueba válida y bastante sólida de la relatividad general ”, dice Haster.

Comprender por qué el valor de Pi aparece en las ecuaciones para deducir la trayectoria de las ondas gravitacionales es un poco más complicado, principalmente porque las ondas interactúan entre sí. El colega de Física Teórica y Haster de la Universidad Johns Hopkins, Emanuele Berti, explica:
“Cuando arrojas una piedra a un lago, ondula el agua. Cuando arrojes otro, la superficie del lago ya no será lisa, ya que las olas causadas por la piedra fundamental continuarán propagándose e interfiriendo con las nuevas ondas. Las ondas gravitacionales funcionan de la misma manera: cuando viajan, cruzan la curvatura del espacio-tiempo generada por las ondas gravitacionales producidas en el pasado «.
Las estrellas de neutrones serán las siguientes
Esta no es la primera vez que el trabajo de Pi y Einstein se incluye en estudios llevados a cabo por investigadores de LIGO. En 2016, una encuesta probó la relatividad general utilizando Pi en otro enfoque. Y, como antes, la pregunta que se hace es la misma: la incertidumbre relativa de los valores encontrados (en el caso de Haster, que van de 3.027 a 3.163).
Para refinar este resultado y llegar al valor matemático aceptado, tendrá que mirar objetos más ligeros. Las estrellas de neutrones deben elegirse porque las ondas gravitacionales que emanan de ellas duran hasta 300 veces más que las generadas por agujeros negros masivos.
pi en el espacio desde el principio
Para algunos matemáticos aumentar la secuencia conocida es un pasatiempo, pero para la astrofísica Pi es más que un placer. Según la NASA, la secuencia se utiliza, entre otras cosas, para:
- 1. determinar el tamaño del paracaídas de las sondas enviadas al suelo de Marte;
- 2. hacer que la nave espacial Cassini obtenga mejores ángulos de Saturno y su luna Titán;
- 3. cartografiar planetas conocidos e inexplorados;
- 4. descubrir mundos potencialmente habitables que orbitan estrellas conocidas;
- 5. poner la nave espacial en órbita;
- 6 pistas de movimiento de asteroides;
- 7. desarrollar las ecuaciones matemáticas necesarias para operar y comunicarse con sondas espaciales, vehículos y telescopios;
- 8.Calcule el ancho del haz del láser quién golpeará el hielo alienígena para analizar;
- 9. estudiar los cráteres;
- 10. Revelar de qué están hechos los asteroides.
Leer también: